Systemy gaśnicze wodne PMS
PMS-3 i PMS-10


Dane materiałowe
- Pokrywa: PA przezroczysty, odporny na promieniowanie UV
- Membrana: CR ze wzmocnieniem tkaninowym
- Obudowa: GD-AI Si12, stalowa blacha ocynkowana
Nie wchodzi w zakres dostawy
Do stosowania FMZ w systemie z pierścieniową magistralą AP:
- Zestaw do modernizacji wyłącznika ciśnieniowego PMA-SU50 ..841486, M2-04-10
- System monitorowania SUX5000 AP NFC - 927799
Inne informacje
- Konserwacja - w ramach testu funkcjonalnego przewidzianego dla danego systemu
- Opis techniczny - nr katalogowy 924014 (ang)
- Części zamienne - nie dotyczy

Dane techniczne
| Parametr | Wartość |
|---|---|
| Medium ciśnieniowe | Woda, sprężone powietrze |
| Zakres temperatury | Od - do +80°C: woda Od -25°C do +100°C: sprężone powietrze |
| Ciśnienie rozerwania |
|
| Maksymalne dopuszczalne ciśnienie | 16 bar |
| Tolerancja przełączania | +/- 0,2 bar przy współczynniku nastawy |
| Prąd roboczy |
|
| Kod IP | IP54 |
| Zatwierdzenie VdS |
|
Dane zamówieniowe
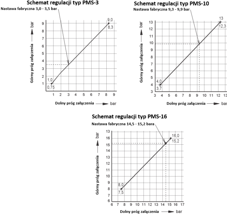
| Typ | Numer zamówieniowy | Regulowane ciśnienie zadziałania | Ustawienie fabryczne | Waga |
|---|---|---|---|---|
| PMS-3 | 817492 | 1,0 - 9,0 bar | 3,0 / 3,5 bar | 0,45 |
| PMS-10 | 817509 | 4,0 - 13,0 bar | 9,3 / 9,9 bar | 0,45 |
| PMS-16* | 844744 | 8,0-16,0 bar | 14,5 / 15,2 bar | 0,45 |
| * Bez aprobat | ||||
Schematy regulacji


- VdS: G4900044 dla PMS-3 oraz G2900045 dla PMS-10